plt绘图#

绘图类型#

https://matplotlib.org/stable/plot_types/index.html#statistical-distributions

Pairwise data 成对x,y数据#

  • plot ; scatter; bar ;stem; fill_between; stackplot; stairs

统计分布#

  • hist; boxPlot; errorbar; violinPlot; pie; hist2d; hexbin

网格数据#

  • 3维数据。 图像等

  • imshow; pcolormesh; contour;quiver

不规则网格数据#

  • tricontour

3D和体积#

  • bar3d; plot;scatter;plot_surface;..

fillbetween#

在两条线之间涂颜色

  1. 默认填充折线与X轴

x = np.linspace(0, 300, 30)
y = np.random.rand(30)
plt.fill_between(x, y,color='gray', alpha=0.3)
plt.plot(x,y, color='red')
[<matplotlib.lines.Line2D at 0x1efa1921520>]
../_images/32ecd4cf47294bb7ae4f07eb72f24a4c79c72d74e88cd64865576a09c7d85aa3.png
  1. 填充两个y、曲线、x轴之间

plt.fill_between(x, 0, 0.5, color='green', alpha=0.2)
plt.plot(x,y, color='red')
[<matplotlib.lines.Line2D at 0x1efa4f7f520>]
../_images/33488581986e8a9ba0553729c1325578769abff5c7b8acfa38c5226a09aaa8e1.png
  1. 条件填充

plt.fill_between(x, 0, y, 
                 where=(y > 0.5), 
                 color='green', alpha=0.3)
plt.plot(x,y, color='red')
[<matplotlib.lines.Line2D at 0x1efa5071d90>]
../_images/2008c6ef6590fec168bd18528577e853abe803f312186d491e4172e3d7be65d4.png

4.1 常用技巧#

plt.figure(figsize=(10,12))  # 宽度,高度

https://matplotlib.org/stable/users/index.html

4.1.1 导入 简写#

import matplotlib as mpl
import matplotlib.pyplot as plt # 最常用的接口
import numpy as np
from seaborn import violinplot

# 设置中文字体(Windows常用SimHei,Mac常用Arial Unicode MS)
plt.rcParams['font.sans-serif'] = ['SimHei'] 
# 解决负号 '-' 显示为方块的问题
plt.rcParams['axes.unicode_minus'] = False 

4.1.2 设置绘图样式#

plt.style.available # 获取所有样式
plt.style.use('classic')

4.1.3 用不用show()?如何显示图形#

如何显示图形取决于开发环境:脚本、IPython shell 、 IPython noteBook

  1. 脚本中,即python命令行运行: 必须使用plt.show(). 他会找到所有可用图形对象,然后打开窗口。

    • 注意的是,尽量放在最后show

  1. 在IPython shell中画图:

  1. 在IPython Notebook中画图 使用 %matplotlib 命令直接把图形嵌入到notebook, 两种形式:

%matplotlib inline
import numpy as np 
x = np.linspace(0, 10, 100) 
fig = plt.figure() 
plt.plot(x, np.sin(x), '-') 
plt.plot(x, np.cos(x), '--');
../_images/df91ca5c2a6f246b36e815d9945a39e1ed32c03cdd988f19db763d6b72183b07.png

4.1.4 将图形保存为文件#

可用将图形保存为各种格式

fig.canvas.get_supported_filetypes() # 获取支持的格式
{'eps': 'Encapsulated Postscript',
 'jpg': 'Joint Photographic Experts Group',
 'jpeg': 'Joint Photographic Experts Group',
 'pdf': 'Portable Document Format',
 'pgf': 'PGF code for LaTeX',
 'png': 'Portable Network Graphics',
 'ps': 'Postscript',
 'raw': 'Raw RGBA bitmap',
 'rgba': 'Raw RGBA bitmap',
 'svg': 'Scalable Vector Graphics',
 'svgz': 'Scalable Vector Graphics',
 'tif': 'Tagged Image File Format',
 'tiff': 'Tagged Image File Format',
 'webp': 'WebP Image Format'}
fig.savefig('my_figure.png')

通过IPython的Image对象显示图像文件

from IPython.display import Image 
Image('my_figure.png')
../_images/ae8825ec77ae4a30595d3ddc3a718b4680a2486bd0e59d2361c7f7101b10d633.png

4.2 两种画图接口#

  • 面向对象接口:更加强大

  • MATLAB画风接口

4.2.1 MATLAB风格接口#

  • 位于pyplot(plt)接口中,

  • 特性:有状态,任何plt命令都对应当前状态。 比如正在绘制第二个子图,就不太好回到第一个子图。!

plt.figure() # 生成两个子图
# 创建两个子图中的第一个,设置坐标轴 
plt.subplot(2, 1, 1) # (行、列、子图编号) 
plt.plot(x, np.sin(x)) 

# 创建两个子图中的第二个,设置坐标轴 
plt.subplot(2, 1, 2) 
plt.plot(x, np.cos(x));
../_images/f09ddb2360145960386e784abe8ace73ab229e13f26a679c1904c1eff6b76aaa.png

4.2.2 面向对象接口#

  • 更加复杂。不会局限在当前状态中。而是通过明确调用figure和axes等方法访问之前的图。

  • 即通过ax[i]调用plot, 而不是plt

# 先创建图形网格 
# ax是一个包含两个Axes对象(子图)的数组 
fig, ax = plt.subplots(2) 

# 在每个对象上调用plot()方法 
ax[0].plot(x, np.sin(x)) 
ax[1].plot(x, np.cos(x));
../_images/a2d8ea512d42e4fb99ec1ebed9ab2b1cbf39dbc5f82014c9778a24d4ac7710c2.png

4.2.3 联系区别#

  • 大多数plt函数都可以ax直接调用:plot, legend;但是一些设置函数ax需要set调用:plt.xlabel() → ax.set_xlabel()

简便的, ax会一起set: ax.set(xlim=(0, 10), ylim=(-2, 2), xlabel=’x’, ylabel=’sin(x)’, title=’A Simple Plot’);

  • plt更加简洁,ax,fig还要创建声明, plt导入即可调用

ax.tick_params(axis='x', rotation = 90)

4.3 简易线形图#

# 导过一次了
%matplotlib inline  
import matplotlib.pyplot as plt 
plt.style.use('seaborn-v0_8-white')
import numpy as np

要画 Matplotlib 图形时,都需要先创建一个图形 fig 和一个坐标轴 ax。

  • figure是一个图形容器:坐标轴、文字、标签..。 figure 可以包含多个axes

  • axes是一个带有刻度、标签的矩形(坐标轴)

fig = plt.figure()
ax = plt.axes()
../_images/53941bfc830d8d8442d40d9e2713a34d95f910acc13d0287f7818795412bcaa4.png

在ax矩形上绘图, ax.plot

fig = plt.figure() 
ax = plt.axes() 

x = np.linspace(0, 10, 1000) 
ax.plot(x, np.sin(x));
ax.plot(x, np.cos(x))
[<matplotlib.lines.Line2D at 0x1c2fc37be00>]
../_images/362bdb0cfc43824954167f6883082ed8e38b0a1f3d18e1d44806c446b644d74e.png

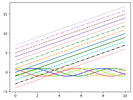
4.3.1 调整图形:线条的颜色与风格#

plot对图形的第一次调整是调整它线条的颜色与风格

import matplotlib.pyplot as plt
fig = plt.figure() 
ax = plt.axes() 

x = np.linspace(0, 10, 1000) 
# 颜色
ax.plot(x, np.sin(x - 0), color='blue')        # 标准颜色名称 
ax.plot(x, np.sin(x - 1), color='g')           # 缩写颜色代码(rgbcmyk) 
ax.plot(x, np.sin(x - 2), color='0.75')        # 范围在0~1的灰度值 
ax.plot(x, np.sin(x - 3), color='#FFDD44')     # 十六进制(RRGGBB,00~FF) 
ax.plot(x, np.sin(x - 4), color=(1.0,0.2,0.3)) # RGB元组,范围在0~1 
ax.plot(x, np.sin(x - 5), color='chartreuse'); # HTML颜色名称
# 风格
ax.plot(x, x + 0, linestyle='solid') 
ax.plot(x, x + 1, linestyle='dashed') 
ax.plot(x, x + 2, linestyle='dashdot') 
ax.plot(x, x + 3, linestyle='dotted'); 
# 风格简写 
ax.plot(x, x + 4, linestyle='-')  # 实线 
ax.plot(x, x + 5, linestyle='--') # 虚线 
ax.plot(x, x + 6, linestyle='-.') # 点划线 
ax.plot(x, x + 7, linestyle=':');  # 实点线
# 组合简写
plt.plot(x, x - 1, '-g')  # 绿色实线 
plt.plot(x, x - 2, '--c') # 青色虚线
plt.plot(x, x - 3, '-.k') # 黑色点划线 
plt.plot(x, x - 4, ':r');  # 红色实点线
../_images/3a99eecb78ce0563786e2a4e7e73466a6ca3159ad471d5809242ab490641d647.png

4.3.2 调整图形:坐标轴上下限#

会自动添加上下限,自定义:ax.set_xlim(), ax.set_ylim() 或者通过axis()一起设置(更加强大)

ax一般通过set设置

plt.axis('equal') # 保持X/Y比例一致 1:1
fig = plt.figure() 
ax = plt.axes() 

x = np.linspace(0, 10, 1000) 
ax.plot(x, np.sin(x)) 

ax.set_xlim(-1, 11) 
ax.set_ylim(-1.5, 1.5);
../_images/12b86deb43e90d178ec0ceb82a1107e967ef4edba921bfa9c8654dca863d8a78.png
fig = plt.figure() 
ax = plt.axes() 

x = np.linspace(0, 10, 1000) 
ax.plot(x, np.sin(x)) 

ax.axis([-1, 11, -1.5, 1.5]);
ax.axis('tight') # 缩进图
(np.float64(0.0),
 np.float64(10.0),
 np.float64(-0.9999972954811321),
 np.float64(0.9999996994977832))
../_images/77f66ee4b6ad6b9d43505c416d6e2179ad637537390ba44a89b7ff84296be9f4.png

4.3.3 设置图形标签#

图形标题、坐标轴标题、简易图例。

fig = plt.figure() 
ax = plt.axes() 

x = np.linspace(0, 10, 1000) 
ax.plot(x, np.sin(x)) 
ax.set_title("A Sine Curve") 
ax.set_xlabel("x") 
ax.set_ylabel("sin(x)");
../_images/6067c1d0143a9aa0e1473619ced1e67bd007cd2aa89390293bac63971c4b80a6.png

图例:legend

  • label参数指定, 自动进入图例

  • 自定义legend

fig = plt.figure() 
ax = plt.axes() 

x = np.linspace(0, 10, 1000) 
ax.plot(x, np.sin(x), '-g', label='sin(x)') 
ax.plot(x, np.cos(x), ':b', label='cos(x)') 
ax.axis('equal') 
ax.set_title('label param')
ax.legend();
../_images/e81a23085b1d86046fdb7d7f6284fde0f014634fcadfca943984c2ad1ecaeea5.png
from sklearn.model_selection import train_test_split
from sklearn.datasets import make_blobs
fig, ax = plt.subplots()
X, y = make_blobs(
    n_samples=100,
    n_features=2,
    centers=3,
    random_state=0
)
X_train, X_test, y_train, y_test = train_test_split(
    X, y, test_size=0.2, random_state=42
)
sca1 = ax.scatter(X_train[:,0], X_train[:, 1], c=y_train, marker='+')
sca2 = ax.scatter(X_test[:,0], X_test[:, 1], c=y_test, marker='*')
ax.legend(
    handles =[sca1, sca2], # 使用哪些图
    labels = ['Train', 'Test'],
    loc='upper left'
)
<matplotlib.legend.Legend at 0x1cdd8747d90>
../_images/4c4e18b8d90d402b33b37c5f363665c7c3bb09b5c5e1b608831350137d231544.png
z注意有些对象不支持handle,需要手动画线

4.4 简易散点图#

%matplotlib inline 
import matplotlib.pyplot as plt 
import numpy as np

4.4.1 用.plot画散点图#

x = np.linspace(0, 10, 30) 
y = np.sin(x) 

plt.plot(x, y, 'o', color='black');
../_images/5f5acd81af9527b8c2ac225eb31d9fdd1fe527a9ebcdb2b3990583dc55b7604a.png
rng = np.random.RandomState(0) 
for marker in ['o', '.', ',', 'x', '+', 'v', '^', '<', '>', 's', 'd']: 
   plt.plot(rng.rand(5), rng.rand(5), marker, # marker属性是 点 字符类型
            label="marker='{0}'".format(marker)) 
   plt.legend(numpoints=1) 
   plt.xlim(0, 1.8);
../_images/8c3250505660bff946feba4f3a15f1518f29dde4b5941f03149c60643e20311e.png
plt.plot(x, y, '-ok');   # 直线(-)、圆圈(o)、黑色(k) 把点连接起来。  简写color, marker, linestyle
../_images/5a2c0da89a9e1b5579efaeb831baa7d05a5a7cac8f1c8ea563a6101d0c76016d.png

4.4.2 用plt.scatter画散点图#

  • 与plot不同的是,scatter可用控制每个点,而plot是整体

  • 控制每个点这个特性,可用更直观的看到样本聚集

plt.scatter(x, y, marker='o');
../_images/a0a23dc2648c94a956c8d016613cd1b2a06562eb6a5f5c2492824dbdb35136a3.png
rng = np.random.RandomState(0) 
x = rng.randn(100) 
y = rng.randn(100) 
colors = rng.rand(100) 
sizes = 1000 * rng.rand(100) 

plt.scatter(x, y, c=colors, s=sizes, alpha=0.3, 
           cmap='viridis') 
plt.colorbar();  # 显示颜色条
../_images/c288efcf7c779f591bd5d68b5d4b4fb0bab4030341668b3b14146c3e57c777ea.png

参数

作用

示例

x, y

数据点坐标

x=[1,2,3], y=[4,5,6]

s

点的大小(默认 20)

s=50(变大)

c

颜色(可以是单色,也可以是数组)

c='red'c=[0,1,2]

marker

点的形状

'o' (圆点), '^' (三角), 's' (方形)

alpha

透明度(0~1)

alpha=0.5(半透明)

edgecolors

边缘颜色

edgecolors='black'

cmap

颜色映射表,把数字映射到几个颜色

cmap=plt.colormaps['magma'].resampled(10)


4.5 可视化 误差#

4.5.1 基本误差线#

errobar

%matplotlib inline 
import matplotlib.pyplot as plt 
import numpy as np 
x = np.linspace(0, 10, 50) 
dy = 0.8 
y = np.sin(x) + dy * np.random.randn(50) 

plt.errorbar(x, y, yerr=dy, fmt='.k');
../_images/f8c00bbebba4a9eb92cc650f3af3b1c1d956becf69f79c83b4aaf362d8b463f1.png
plt.errorbar(x, y, yerr=dy, fmt='o', color='black', ecolor='lightgray', elinewidth=3, capsize=0);
../_images/0ee6cd90c96e0a689b5bd782c6224b38d3c3b0c81dd6fac468c27336ba254b14.png

4.5.2 连续误差(连续变量)#

4.6 密度图与等高线图#

有时候可以用来表示三维数据

%matplotlib inline 
import matplotlib.pyplot as plt 
import numpy as np

三维函数的可视化

def f(x, y): 
    return np.sin(x) ** 10 + np.cos(10 + y * x) * np.cos(x)
x = np.linspace(0, 5, 50) 
y = np.linspace(0, 5, 40) 

X, Y = np.meshgrid(x, y) # 从一维数组构建二维网格数据
print(X,Y )
Z = f(X, Y)
[[0.         0.10204082 0.20408163 ... 4.79591837 4.89795918 5.        ]
 [0.         0.10204082 0.20408163 ... 4.79591837 4.89795918 5.        ]
 [0.         0.10204082 0.20408163 ... 4.79591837 4.89795918 5.        ]
 ...
 [0.         0.10204082 0.20408163 ... 4.79591837 4.89795918 5.        ]
 [0.         0.10204082 0.20408163 ... 4.79591837 4.89795918 5.        ]
 [0.         0.10204082 0.20408163 ... 4.79591837 4.89795918 5.        ]] [[0.         0.         0.         ... 0.         0.         0.        ]
 [0.12820513 0.12820513 0.12820513 ... 0.12820513 0.12820513 0.12820513]
 [0.25641026 0.25641026 0.25641026 ... 0.25641026 0.25641026 0.25641026]
 ...
 [4.74358974 4.74358974 4.74358974 ... 4.74358974 4.74358974 4.74358974]
 [4.87179487 4.87179487 4.87179487 ... 4.87179487 4.87179487 4.87179487]
 [5.         5.         5.         ... 5.         5.         5.        ]]
plt.contour(X, Y, Z, colors='black'); # 绘制等高线
../_images/75ce03a1bbea88d7e3136b466b984d5b4957230144124cc9a6a97394c8b65309.png
plt.contour(X, Y, Z, 20, cmap='RdGy');
plt.colorbar(); # 绘制颜色对应信息
../_images/fd9c9c78aae89706430c95bf6a7f6c9e9d194d7f53b77e156fec8783c25562b8.png

通过imshow做的更加连续化,而非线条化。

plt.imshow(Z, extent=[0, 5, 0, 5], origin='lower', cmap='RdGy') 
plt.colorbar() 
plt.axis();
../_images/c4e4691cddfe8b908cc0fd8b571d65304c6e74b70663318f8a51bee1374c9c0a.png

还可以一起 将等高线 和 连续图 放在一起。

contours = plt.contour(X, Y, Z, 3, colors='black') 
plt.clabel(contours, inline=True, fontsize=8) # 带数据标签的等高线
plt.imshow(Z, extent=[0, 5, 0, 5], origin='lower', cmap='RdGy', alpha=0.5) 
plt.colorbar();
../_images/fd2028430f30a7c603dd785d4a398ee66dbc9bcd74f580e6ac1fc4296b4cc8a1.png

绘制二维等高线图#

  • 等高线必须绘制网格

  • 把值要放在网格点上

import numpy as np
import matplotlib.pyplot as plt
from scipy.stats import multivariate_normal
# 二维等高线图,
def plot_contour(x1, x2, y_func):
    fig = plt.figure()
    x1_space = np.linspace(min(x1), max(x1), 1000)
    x2_space = np.linspace(min(x2), max(x2), 1000)
    x1_grid, x2_grid = np.meshgrid(x1_space, x2_space)
    y_grid = y_func(np.column_stack([x1_grid.ravel(), x2_grid.ravel()]))
    y_grid = y_grid.reshape(x1_grid.shape)
    
    plt.contour(x1_grid, x2_grid, y_grid)
    plt.scatter(x1, x2, s=10)
    plt.axis('equal')
    plt.tight_layout()
covariance = np.array([
    [1, 0],
    [0, 1]
])
X = np.random.randn(1000, 2)
rv = multivariate_normal(mean=[0, 0], cov= covariance)
plot_contour(X[:, 0], X[:, 1], y_func=rv.pdf)
../_images/71da31a0900ebd2d9ef12ee8dcf27664694065b6e8c4d354389b149a0dffcfb2.png

4.7 频次直方图、数据区间划分和分布密度#

import numpy as np 
import matplotlib.pyplot as plt 

data = np.random.randn(1000) 
data.shape
(1000,)

hist参数

参数

描述

示例

bins

柱子的数量或区间边界

bins=30, bins='auto'

alpha

透明度(0 到 1)

alpha=0.7

density

是否显示为概率密度

density=True

color

柱子的颜色

color='skyblue'

edgecolor

设置柱子边框颜色

edgecolor='black'

linewidth

设置柱子的边框宽度

linewidth=1.5

range

直方图的显示范围

range=(0, 10)

align

对齐方式

align='center'

histtype

直方图的类型(条形图、线图等)

histtype='step'

cumulative

是否显示为累积直方图

cumulative=True

label

为图例指定标签

label='Feature 1'

plt.hist(data);
---------------------------------------------------------------------------
NameError                                 Traceback (most recent call last)
Cell In[1], line 1
----> 1 plt.hist(data);

NameError: name 'plt' is not defined

二维频次直方图与数据区间划分

mean = [0, 0] 
cov = [[1, 1], [1, 2]] 
x, y = np.random.multivariate_normal(mean, cov, 10000).T
  1. plt.hist2d:二维频次直方图

plt.hist2d(x, y, bins=30, cmap='Blues') 
cb = plt.colorbar() 
cb.set_label('counts in bin')
../_images/cbb53d98374fe6161cd68f05d8c69e2fc800ff8eb4e1aa0ef0752e6fb8a80fba.png
  1. plt.hexbin:六边形区间划分

plt.hexbin(x, y, gridsize=30, cmap='Blues') 
cb = plt.colorbar(label='count in bin')
../_images/a02cab6e9369933b6a69f48c65318c1db5c83d3331a463e1c6ac8f45b9be1701.png
  1. 核密度估计:更常见的多维数据分布密度

  • 传统的频数分布通过离散点统计表示

  • KDE通过核函数在每个离散点附近做连续函数,从而连起来产生平滑的概率密度统计

from scipy.stats import gaussian_kde 
 
# 拟合数组维度[Ndim, Nsamples] 
data = np.vstack([x, y]) 
kde = gaussian_kde(data) 

# 用一对规则的网格数据进行拟合 
xgrid = np.linspace(-3.5, 3.5, 40) 
ygrid = np.linspace(-6, 6, 40) 
Xgrid, Ygrid = np.meshgrid(xgrid, ygrid) 
Z = kde.evaluate(np.vstack([Xgrid.ravel(), Ygrid.ravel()])) 

# 画出结果图 
plt.imshow(Z.reshape(Xgrid.shape), 
           origin='lower', aspect='auto', 
           extent=[-3.5, 3.5, -6, 6], 
           cmap='Blues') 
cb = plt.colorbar() 
cb.set_label("density")
../_images/f636025fa32f70133de791aef23a60a5ec250691d89b193f2bae21924e55ba1a.png

4.8 配置图例 legend#

默认的配置

import matplotlib.pyplot as plt 
import numpy as np 
x = np.linspace(0, 10, 1000) 
fig, ax = plt.subplots() 
ax.plot(x, np.sin(x), '-b', label='Sine') 
ax.plot(x, np.cos(x), '--r', label='Cosine') 
ax.axis('equal') 
leg = ax.legend();
../_images/7e88c6d1aba0ebf2ae0f854452dcf2f9bd4eb42e0b94cf6b92d1e502e43912d3.png

4.8.1 选择图例显示的元素#

4.8.2 在图例中显示不同尺寸的点#

比如通过圈圈大小显示其人口数

import pandas as pd 
cities = pd.read_csv('california_cities.csv') 

# 提取感兴趣的数据 
lat, lon = cities['latd'], cities['longd'] 
population, area = cities['population_total'], cities['area_total_km2'] 

# 用不同尺寸和颜色的散点图表示数据,但是不带标签 
plt.scatter(lon, lat, label=None, 
           c=np.log10(population), cmap='viridis', 
           s=area, linewidth=0, alpha=0.5) 
plt.axis('equal') 
plt.xlabel('longitude') 
plt.ylabel('latitude') 
plt.colorbar(label='log$_{10}$(population)') 
plt.clim(3, 7) 

# 下面创建一个图例: 
# 画一些带标签和尺寸的空列表 
for area in [100, 300, 500]: 
   plt.scatter([], [], c='k', alpha=0.3, s=area, 
               label=str(area) + ' km$^2$') 
plt.legend(scatterpoints=1, frameon=False, 
          labelspacing=1, title='City Area') 

plt.title('California Cities: Area and Population')
Text(0.5, 1.0, 'California Cities: Area and Population')
../_images/8d1e40c77231864848824d45e5577d753f8349c84e2d38c17b9a45c894c94a6d.png

4.9 配置颜色条#

plt.imshow(data, cmap='gray', interpolation='none', aspect='auto', extent=[x_min, x_max, y_min, y_max])
绘制data形状的像素网格。

  • X 轴是 数组的列索引 (0 ~ 19),Y 轴是 数组的行索引 (0~9)。

  • 默认左上角是 (0,0),行向下增长。

  • extent=[-5, 5, -2, 2] 调整索引长度

  • aspect=’auto’自适应比例,

import numpy as np
import matplotlib.pyplot as plt

data = np.array([[0, 1], 
                 [1, 2]])  # 2×2 的数组

plt.imshow(data, cmap="gray", interpolation="nearest")  # 关闭插值,保持像素格
plt.colorbar()  # 添加颜色条
plt.show()
../_images/b4d1af7e29147f9a12ce41bcb3697cc6d2d548ebf34993d29ca8295656142c1d.png
x = np.linspace(0, 10, 1000) 
I = np.sin(x) * np.cos(x[:, np.newaxis]) 

plt.imshow(I) 
plt.colorbar();
../_images/991c05ce3ac6638cd65375bec97010c572d4fc59152fbd8974b9e9aa96065f1a.png

4.9.1 配置颜色条#

通过cmap参数

plt.imshow(I, cmap='gray');
../_images/49cd66f8d7fc5fcafe4a6b60f2bad58365ba87719a32a0ea106644e61681d16a.png

4.9.2 案例:手写数字#

from sklearn.datasets import load_digits 
digits = load_digits(n_class=6) 

fig, ax = plt.subplots(8, 8, figsize=(6, 6)) 
for i, axi in enumerate(ax.flat): 
    axi.imshow(digits.images[i], cmap='binary') 
    axi.set(xticks=[], yticks=[])
../_images/0c94ff1457ca2bf3c810d127694451ce8e20b6be0497df033424cea80c4acee7.png

4.9.3 colorbar#

colorbar 是Plt , fig的函数接口
colorbar 多子图中需要指定ax!!

  • matplotlib.cm:处理 colormap,用于从数值获取颜色。

  • matplotlib.colors:处理 颜色归一化、转换、定义新颜色。

多子图公用一个colorbar

import matplotlib.pyplot as plt
import numpy as np
import matplotlib.cm as cm
import matplotlib.colors as mcolors

# 创建 3x3 子图,X 轴共享列,Y 轴共享行
fig, axes = plt.subplots(3, 3, sharex='col', sharey='row', figsize=(8, 8))

# 颜色映射
vmin, vmax = 0, 1  # 设定 colorbar 的范围
cmap = cm.binary
norm = mcolors.Normalize(vmin=vmin, vmax=vmax)

# 创建 ScalarMappable(用于 colorbar)
sm = cm.ScalarMappable(cmap=cmap, norm=norm)
sm.set_array([])  # 避免 colorbar() 警告

# 遍历子图
for row in axes:
    for ax in row:
        img = np.random.rand(8, 8)  # 生成 8x8 数据
        ax.imshow(img, cmap=cmap, norm=norm)  # ✅ 直接用 sm 的 cmap 和 norm

# 统一色条
fig.colorbar(sm, ax=axes.ravel(), orientation="vertical")
<matplotlib.colorbar.Colorbar at 0x21e53823350>
../_images/1be30cc3396141d58e8c3aeda8076688c9d05bfc2637bc28918931d26df13a43.png

4.10 多子图#

  • 画中画(inset)、网格图(grid of plots),或者是其他更复杂的布局形式

  • 一个figure,而ax有多个

%matplotlib inline 
import matplotlib.pyplot as plt 
import numpy as np

4.10.1 plt.axes:手动创建子图#

ax1 = plt.axes()  # 默认坐标轴 
ax2 = plt.axes([0.65, 0.65, 0.2, 0.2]) # 百分比高度,
../_images/5999a6acb66d2c6a3b969101a55789d9b98eba506867ff10cb89e8ddc76b4945.png

4.10.2 plt.subplot:简易网格子图:若干彼此对齐的行列子图#

for i in range(1, 7): 
   plt.subplot(2, 3, i) 
   plt.text(0.5, 0.5, str((2, 3, i)), 
            fontsize=18, ha='center')
../_images/395ec2f8cba681aec2f20ecf22ca3745744edd7c974eb72bbd957b916de66b6f.png

4.10.3 plt.subplots:用一行代码创建网格#

  • subplot不能隐藏坐标轴啥的, 太简单了

  • s表示一次创建多个

fig, axes = plt.subplots(2, 3, sharex='col', sharey='row')
../_images/308c7f065ea04a8ddbd4b4e30d4dbcac819b6c1ba1989f65f7409b5febdd60b8.png

4.10.4 plt.GridSpec:实现更复杂的排列方式#

不规格的网格图

grid = plt.GridSpec(2, 3, wspace=0.4, hspace=0.3)
plt.subplot(grid[0, 0]) 
plt.subplot(grid[0, 1:]) 
plt.subplot(grid[1, :2]) 
plt.subplot(grid[1, 2]);
../_images/0eb977a0648917a83dd1346b38c4d29a361e4f2ac0610e81d553594ceb365eaa.png

4.10.5 add_subplot 直接添加#

fig = plt.figure(figsize=(10 ,4))
ax1 = fig.add_subplot(1, 2, 1)
ax2 = fig.add_subplot(1, 2, 2)
../_images/5f1ba54ef99a142c7a58f925dde1e88f6b12fade88a1f8b51f791d3afaafb067.png
# 创建一些正态分布数据 
mean = [0, 0] 
cov = [[1, 1], [1, 2]] 
x, y = np.random.multivariate_normal(mean, cov, 3000).T 

# 设置坐标轴和网格配置方式 
fig = plt.figure(figsize=(6, 6)) 
grid = plt.GridSpec(4, 4, hspace=0.2, wspace=0.2) 
main_ax = fig.add_subplot(grid[:-1, 1:]) 
y_hist = fig.add_subplot(grid[:-1, 0], xticklabels=[], sharey=main_ax) 
x_hist = fig.add_subplot(grid[-1, 1:], yticklabels=[], sharex=main_ax) 

# 主坐标轴画散点图 
main_ax.plot(x, y, 'ok', markersize=3, alpha=0.2) 

# 次坐标轴画频次直方图 
x_hist.hist(x, 40, histtype='stepfilled', 
            orientation='vertical', color='gray') 
x_hist.invert_yaxis() 

y_hist.hist(y, 40, histtype='stepfilled', 
            orientation='horizontal', color='gray') 
y_hist.invert_xaxis()
../_images/60833dcdd9666ea892bbf1677709b34e1d0496912113ed9f129cd9fddf5af6cf.png

4.11 文字与注释#

import matplotlib.pyplot as plt 
import matplotlib as mpl 
import numpy as np 
import pandas as pd
births = pd.read_csv('births.csv')
births.head()
year month day gender births
0 1969 1 1.0 F 4046
1 1969 1 1.0 M 4440
2 1969 1 2.0 F 4454
3 1969 1 2.0 M 4548
4 1969 1 3.0 F 4548
quartiles = np.percentile(births['births'], [25, 50, 75])
quartiles
array([4358. , 4814. , 5289.5])
mu, sig = quartiles[1], 0.74 * (quartiles[2] - quartiles[0])
mu,sig
(np.float64(4814.0), np.float64(689.31))
births = births.query('(births > @mu - 5 * @sig) & (births < @mu + 5 * @sig)')
births.head()
year month day gender births
0 1969 1 1 F 4046
1 1969 1 1 M 4440
2 1969 1 2 F 4454
3 1969 1 2 M 4548
4 1969 1 3 F 4548
births['day'] = births['day'].astype(int)
births.head()
year month day gender births
0 1969 1 1 F 4046
1 1969 1 1 M 4440
2 1969 1 2 F 4454
3 1969 1 2 M 4548
4 1969 1 3 F 4548
births.index = pd.to_datetime(10000 * births.year + 100 * births.month + births.day, format= '%Y%m%d' )
births.index
DatetimeIndex(['1969-01-01', '1969-01-01', '1969-01-02', '1969-01-02',
               '1969-01-03', '1969-01-03', '1969-01-04', '1969-01-04',
               '1969-01-05', '1969-01-05',
               ...
               '1988-12-27', '1988-12-27', '1988-12-28', '1988-12-28',
               '1988-12-29', '1988-12-29', '1988-12-30', '1988-12-30',
               '1988-12-31', '1988-12-31'],
              dtype='datetime64[ns]', length=14610, freq=None)
births_by_date = births.pivot_table('births', 
                                    [births.index.month, births.index.day]) 
births_by_date
births
1 1 4009.225
2 4247.400
3 4500.900
4 4571.350
5 4603.625
... ... ...
12 27 4850.150
28 5044.200
29 5120.150
30 5172.350
31 4859.200

366 rows × 1 columns

births_by_date.index = [pd.Timestamp(2012, month, day)
                        for (month, day) in births_by_date.index] 
births_by_date
births
2012-01-01 4009.225
2012-01-02 4247.400
2012-01-03 4500.900
2012-01-04 4571.350
2012-01-05 4603.625
... ...
2012-12-27 4850.150
2012-12-28 5044.200
2012-12-29 5120.150
2012-12-30 5172.350
2012-12-31 4859.200

366 rows × 1 columns

fig, ax = plt.subplots(figsize = (12,4))
../_images/029570894d27327471a06810d9a2b4e7989202400fcdca5c32ad0fbe4b36890d.png
ax.plot(births_by_date)
fig
C:\Users\63517\AppData\Local\Temp\ipykernel_13876\4018282542.py:1: UserWarning: This axis already has a converter set and is updating to a potentially incompatible converter
  ax.plot(births_by_date)
---------------------------------------------------------------------------
IndexError                                Traceback (most recent call last)
File D:\miniconda3\Lib\site-packages\matplotlib\axis.py:1822, in Axis.convert_units(self, x)
   1821 try:
-> 1822     ret = self._converter.convert(x, self.units, self)
   1823 except Exception as e:

File D:\miniconda3\Lib\site-packages\matplotlib\dates.py:1834, in _SwitchableDateConverter.convert(self, *args, **kwargs)
   1833 def convert(self, *args, **kwargs):
-> 1834     return self._get_converter().convert(*args, **kwargs)

File D:\miniconda3\Lib\site-packages\matplotlib\dates.py:1762, in DateConverter.convert(value, unit, axis)
   1756 """
   1757 If *value* is not already a number or sequence of numbers, convert it
   1758 with `date2num`.
   1759 
   1760 The *unit* and *axis* arguments are not used.
   1761 """
-> 1762 return date2num(value)

File D:\miniconda3\Lib\site-packages\matplotlib\dates.py:444, in date2num(d)
    443     return d
--> 444 tzi = getattr(d[0], 'tzinfo', None)
    445 if tzi is not None:
    446     # make datetime naive:

IndexError: too many indices for array: array is 0-dimensional, but 1 were indexed

The above exception was the direct cause of the following exception:

ConversionError                           Traceback (most recent call last)
File D:\miniconda3\Lib\site-packages\IPython\core\formatters.py:402, in BaseFormatter.__call__(self, obj)
    400     pass
    401 else:
--> 402     return printer(obj)
    403 # Finally look for special method names
    404 method = get_real_method(obj, self.print_method)

File D:\miniconda3\Lib\site-packages\IPython\core\pylabtools.py:170, in print_figure(fig, fmt, bbox_inches, base64, **kwargs)
    167     from matplotlib.backend_bases import FigureCanvasBase
    168     FigureCanvasBase(fig)
--> 170 fig.canvas.print_figure(bytes_io, **kw)
    171 data = bytes_io.getvalue()
    172 if fmt == 'svg':

File D:\miniconda3\Lib\site-packages\matplotlib\backend_bases.py:2155, in FigureCanvasBase.print_figure(self, filename, dpi, facecolor, edgecolor, orientation, format, bbox_inches, pad_inches, bbox_extra_artists, backend, **kwargs)
   2152     # we do this instead of `self.figure.draw_without_rendering`
   2153     # so that we can inject the orientation
   2154     with getattr(renderer, "_draw_disabled", nullcontext)():
-> 2155         self.figure.draw(renderer)
   2156 if bbox_inches:
   2157     if bbox_inches == "tight":

File D:\miniconda3\Lib\site-packages\matplotlib\artist.py:94, in _finalize_rasterization.<locals>.draw_wrapper(artist, renderer, *args, **kwargs)
     92 @wraps(draw)
     93 def draw_wrapper(artist, renderer, *args, **kwargs):
---> 94     result = draw(artist, renderer, *args, **kwargs)
     95     if renderer._rasterizing:
     96         renderer.stop_rasterizing()

File D:\miniconda3\Lib\site-packages\matplotlib\artist.py:71, in allow_rasterization.<locals>.draw_wrapper(artist, renderer)
     68     if artist.get_agg_filter() is not None:
     69         renderer.start_filter()
---> 71     return draw(artist, renderer)
     72 finally:
     73     if artist.get_agg_filter() is not None:

File D:\miniconda3\Lib\site-packages\matplotlib\figure.py:3257, in Figure.draw(self, renderer)
   3254             # ValueError can occur when resizing a window.
   3256     self.patch.draw(renderer)
-> 3257     mimage._draw_list_compositing_images(
   3258         renderer, self, artists, self.suppressComposite)
   3260     renderer.close_group('figure')
   3261 finally:

File D:\miniconda3\Lib\site-packages\matplotlib\image.py:134, in _draw_list_compositing_images(renderer, parent, artists, suppress_composite)
    132 if not_composite or not has_images:
    133     for a in artists:
--> 134         a.draw(renderer)
    135 else:
    136     # Composite any adjacent images together
    137     image_group = []

File D:\miniconda3\Lib\site-packages\matplotlib\artist.py:71, in allow_rasterization.<locals>.draw_wrapper(artist, renderer)
     68     if artist.get_agg_filter() is not None:
     69         renderer.start_filter()
---> 71     return draw(artist, renderer)
     72 finally:
     73     if artist.get_agg_filter() is not None:

File D:\miniconda3\Lib\site-packages\matplotlib\axes\_base.py:3181, in _AxesBase.draw(self, renderer)
   3178 if artists_rasterized:
   3179     _draw_rasterized(self.get_figure(root=True), artists_rasterized, renderer)
-> 3181 mimage._draw_list_compositing_images(
   3182     renderer, self, artists, self.get_figure(root=True).suppressComposite)
   3184 renderer.close_group('axes')
   3185 self.stale = False

File D:\miniconda3\Lib\site-packages\matplotlib\image.py:134, in _draw_list_compositing_images(renderer, parent, artists, suppress_composite)
    132 if not_composite or not has_images:
    133     for a in artists:
--> 134         a.draw(renderer)
    135 else:
    136     # Composite any adjacent images together
    137     image_group = []

File D:\miniconda3\Lib\site-packages\matplotlib\artist.py:71, in allow_rasterization.<locals>.draw_wrapper(artist, renderer)
     68     if artist.get_agg_filter() is not None:
     69         renderer.start_filter()
---> 71     return draw(artist, renderer)
     72 finally:
     73     if artist.get_agg_filter() is not None:

File D:\miniconda3\Lib\site-packages\matplotlib\text.py:762, in Text.draw(self, renderer)
    760 if np.ma.is_masked(y):
    761     y = np.nan
--> 762 posx = float(self.convert_xunits(x))
    763 posy = float(self.convert_yunits(y))
    764 posx, posy = trans.transform((posx, posy))

File D:\miniconda3\Lib\site-packages\matplotlib\artist.py:278, in Artist.convert_xunits(self, x)
    276 if ax is None or ax.xaxis is None:
    277     return x
--> 278 return ax.xaxis.convert_units(x)

File D:\miniconda3\Lib\site-packages\matplotlib\axis.py:1824, in Axis.convert_units(self, x)
   1822     ret = self._converter.convert(x, self.units, self)
   1823 except Exception as e:
-> 1824     raise munits.ConversionError('Failed to convert value(s) to axis '
   1825                                  f'units: {x!r}') from e
   1826 return ret

ConversionError: Failed to convert value(s) to axis units: '2012-1-1'
<Figure size 1200x400 with 1 Axes>

添加文字标题

fig, ax = plt.subplots(figsize=(12, 4)) 
births_by_date.plot(ax=ax) 

# 在图上增加文字标签 
style = dict(size=10, color='gray') 

ax.text('2012-1-1', 3950, "New Year's Day", **style) 
ax.text('2012-7-4', 4250, "Independence Day", ha='center', **style) 
ax.text('2012-9-4', 4850, "Labor Day", ha='center', **style) 
ax.text('2012-10-31', 4600, "Halloween", ha='right', **style) 
ax.text('2012-11-25', 4450, "Thanksgiving", ha='center', **style) 
ax.text('2012-12-25', 3850, "Christmas ", ha='right', **style) 

# 设置坐标轴标题 
ax.set(title='USA births by day of year (1969-1988)', 
      ylabel='average daily births') 

# 设置x轴刻度值,让月份居中显示 
ax.xaxis.set_major_locator(mpl.dates.MonthLocator()) 
ax.xaxis.set_minor_locator(mpl.dates.MonthLocator(bymonthday=15)) 
ax.xaxis.set_major_formatter(plt.NullFormatter()) 
ax.xaxis.set_minor_formatter(mpl.dates.DateFormatter('%h'));
../_images/59550bd9d0adccc9d33324e5e23d67bc02c5c30504030dbeb1f2de596bd9957e.png

4.11.2 坐标变换与文字位置#

4.11.3 箭头与注释#

plt.annonate 既可以画箭头 又能注释

fig, ax = plt.subplots() 
x = np.linspace(0, 20, 1000) 
ax.plot(x, np.cos(x)) 
ax.axis('equal') 
ax.annotate('local maximum', xy=(6.28, 1), xytext=(10, 4), 
       arrowprops=dict(facecolor='black', shrink=0.05)) 
ax.annotate('local minimum', xy=(5 * np.pi, -1), xytext=(2, -6), 
       arrowprops=dict(arrowstyle="->", 
                       connectionstyle="angle3,angleA=0,angleB=-90"));
../_images/0efadbe515d8ab1806946a9618caab8794e42ecc9ea60c41b2eaf92c92cdabf1.png

4.12 自定义坐标轴刻度#

4.12.1 主要刻度与次要刻度#

import matplotlib.pyplot as plt 
import numpy as np 
ax = plt.axes(xscale='log', yscale='log')
../_images/7d3e43bf9cfa7de7d7225c91e52ce1450daf3788991d65718b0cd95f9c5cb137.png

!每个坐标轴的 formatter(刻度) 与 locator 对象(标签) 设置坐标轴

4.12.2 隐藏刻度与标签#

ax = plt.axes() 
ax.plot(np.random.rand(50)) 

ax.yaxis.set_major_locator(plt.NullLocator()) # 隐藏刻度
ax.xaxis.set_major_formatter(plt.NullFormatter()) # 隐藏标签
../_images/c96d1a740f9218dc2913fc2acdffd76d2b01b9a6a679d03f01f43839f478dabf.png

比如人脸数据图像,不需要刻度

fig, ax = plt.subplots(5, 5, figsize=(5, 5))  # 行,列,fig宽高
fig.subplots_adjust(hspace=0, wspace=0) # 调整subplots

# 从scikit-learn获取一些人脸照片数据 
from sklearn.datasets import fetch_olivetti_faces 
faces = fetch_olivetti_faces().images 

for i in range(5): 
   for j in range(5): 
       ax[i, j].xaxis.set_major_locator(plt.NullLocator()) 
       ax[i, j].yaxis.set_major_locator(plt.NullLocator()) 
       ax[i, j].imshow(faces[10 * i + j], cmap="bone")
downloading Olivetti faces from https://ndownloader.figshare.com/files/5976027 to C:\Users\63517\scikit_learn_data
../_images/7bfb6e0597ec14939702d62bf8aa4d0d572dc7c7e8fa097c633116c92739a514.png

4.12.3 增减刻度数量#

fig, ax = plt.subplots(4, 4, sharex=True, sharey=True)
../_images/d3b82d9402138e66910801e63fbc6809b7bbd9eca402a6e5af44556ec5be7208.png

4.12.4 花哨的刻度格式#

# 画正弦曲线和余弦曲线 
fig, ax = plt.subplots() 
x = np.linspace(0, 3 * np.pi, 1000) 
ax.plot(x, np.sin(x), lw=3, label='Sine') 
ax.plot(x, np.cos(x), lw=3, label='Cosine') 

# 设置网格、图例和坐标轴上下限 
ax.grid(True) 
ax.legend(frameon=False) 
ax.axis('equal') 
ax.set_xlim(0, 3 * np.pi);
ax.xaxis.set_major_locator(plt.MultipleLocator(np.pi / 2)) 
ax.xaxis.set_minor_locator(plt.MultipleLocator(np.pi / 4)) 
../_images/7719e6ea342b2afb4bbdea4e96844a750455619e6799dff2e2944f0a5b7b42bc.png

tick间隔设置#

有时候x轴太多了,比如时间轴

import matplotlib.cbook as cbook
data = cbook.get_sample_data('goog.npz')['price_data']
data
array([('2004-08-19', 100.  , 104.06,  95.96, 100.34, 22351900, 100.34),
       ('2004-08-20', 101.01, 109.08, 100.5 , 108.31, 11428600, 108.31),
       ('2004-08-23', 110.75, 113.48, 109.05, 109.4 ,  9137200, 109.4 ),
       ...,
       ('2008-10-10', 313.16, 341.89, 310.3 , 332.  , 10597800, 332.  ),
       ('2008-10-13', 355.79, 381.95, 345.75, 381.02,  8905500, 381.02),
       ('2008-10-14', 393.53, 394.5 , 357.  , 362.71,  7784800, 362.71)],
      dtype=[('date', '<M8[D]'), ('open', '<f8'), ('high', '<f8'), ('low', '<f8'), ('close', '<f8'), ('volume', '<i8'), ('adj_close', '<f8')])

对于pd.date来说,自动ticke

4.13 Matplotlib自定义:配置文件与样式表#

4.14 用Matplotlib画三维图#

from mpl_toolkits import mplot3d
import numpy as np 
import matplotlib.pyplot as plt 
fig = plt.figure() 
ax = plt.axes(projection='3d') # 3D坐标轴
../_images/48d61afdf0562e1e1949b9ba650105d3ddb4689e8a8128c506748e2ccdfd57e8.png

4.14.1 三维数据点与线#

%matplotlib inline
ax = plt.axes(projection='3d') 
 
# 三维线的数据 
zline = np.linspace(0, 15, 1000) 
xline = np.sin(zline) 
yline = np.cos(zline) 
ax.plot3D(xline, yline, zline, 'gray') 

# 三维散点的数据 
zdata = 15 * np.random.random(100) 
xdata = np.sin(zdata) + 0.1 * np.random.randn(100) 
ydata = np.cos(zdata) + 0.1 * np.random.randn(100) 
ax.scatter3D(xdata, ydata, zdata, c=zdata, cmap='Greens');
../_images/2ae770f005636e8f9766c5ce1ff43957dc8fbd3d1bc1cf3f8007167538ac7352.png

4.14.2 三维等高线图#

import numpy as np
def f(x, y): 
   return np.sin(np.sqrt(x ** 2 + y ** 2)) 

x = np.linspace(-6, 6, 30) 
y = np.linspace(-6, 6, 30) 

X, Y = np.meshgrid(x, y) 
Z = f(X, Y) 
print(X.shape, Y.shape, Z.shape)

fig = plt.figure() 
ax = plt.axes(projection='3d') 
ax.contour3D(X, Y, Z, 50, cmap='binary') 
ax.set_xlabel('x') 
ax.set_ylabel('y') 
ax.set_zlabel('z');
(30, 30) (30, 30) (30, 30)
(30, 30)
../_images/9760dd42493e6b942667e922c6255ed41430d888b4c2dffdde6aff925cac49f6.png
ax.view_init(60, 35)  # 扭转角度
fig
../_images/c2c580205aaabfb9c90fe01efe0703c8d5384f5618666cfbb4948a22f7a92f89.png

4.14.4 曲面三角剖分#

有时候数据没那么多,通过三点构建曲面三角,构建整体图像

theta = 2 * np.pi * np.random.random(1000) 
r = 6 * np.random.random(1000) 
x = np.ravel(r * np.sin(theta)) 
y = np.ravel(r * np.cos(theta)) 
z = f(x, y)
ax = plt.axes(projection='3d') 
ax.scatter(x, y, z, c=z, cmap='viridis', linewidth=0.5);
../_images/dfcffaeba0fc566f46204d68496743c2bde496bfa0cd833a79522a42b132ca69.png
ax = plt.axes(projection='3d') 
ax.plot_trisurf(x, y, z, cmap='viridis', edgecolor='none'); # 把散点连起来三角
../_images/125cd3a36024ab5eb72625c3f0a07ed199b8deb4fc9270a986462955a1f9a5d1.png

案例:莫比乌斯带

莫比乌斯带的参数方程为:

$$ x = (1 + v \cos \frac{u}{2}) \cos u $$

$$ y = (1 + v \cos \frac{u}{2}) \sin u $$

$$ z = v \sin \frac{u}{2} $$

其中:

  • $( u \in [0, 2\pi])$ 控制绕圈的角度。

  • $( v \in [-w, w] ) $控制带的宽度。

theta = np.linspace(0, 2 * np.pi, 30) 
w = np.linspace(-0.25, 0.25, 8) 
w, theta = np.meshgrid(w, theta)
phi = 0.5 * theta
# x - y平面内的半径 
r = 1 + w * np.cos(phi) 

x = np.ravel(r * np.cos(theta)) # np.ravel多维数组展成一维数组
y = np.ravel(r * np.sin(theta)) 
z = np.ravel(w * np.sin(phi))
from matplotlib.tri import Triangulation 
tri = Triangulation(np.ravel(w), np.ravel(theta)) 

ax = plt.axes(projection='3d') 
ax.plot_trisurf(x, y, z, triangles=tri.triangles, 
                cmap='viridis', linewidths=0.2); 

ax.set_xlim(-1, 1); ax.set_ylim(-1, 1); ax.set_zlim(-1, 1);
../_images/eeda9104b54d5626e53635970c8a919a3bd3841a25d0af83c8cbdfa3f64b522d.png

4.15 用Basemap可视化地理数据 (过时)现在:cartopy#

4.17 Animation动画#

绘制hline和vline#

  • vline(x坐标,y起始,y终止)

t = np.arange(0, 5, 0.1) # 时间点
s = np.exp(-t) + np.sin(2 * np.pi* t) # 一个正弦波,随着时间指数衰减
nse = np.random.normal(0, 0.1, t.shape) * s # 引入噪声
fig, (vax, hax) = plt.subplots(1, 2, figsize=(12,6))
vax.plot(t, s+nse, '^') # 
vax.vlines(t, [0], s) # 没有噪声的线
vax.set_xlabel('time')
vax.set_title('Vline')

hax.plot(s + nse, t, '^')
hax.hlines(t, [0], s, lw=2)
hax.set_xlabel('time (s)')
hax.set_title('Horizontal lines demo')
Text(0.5, 1.0, 'Horizontal lines demo')
../_images/2abcc5a3bec6f6f4a57d01e5a0643e996d1eef1b5d97dbc2fec27132e7401c67.png

4.19 茎叶图(stem plot)#

绘制脉冲信号。 常常用于稀疏系数,大多数为0

import numpy as np
import matplotlib.pyplot as plt

# 生成稀疏数据(大部分是 0)
x = np.arange(10)
y = np.array([0, 3, 0, 0, -2, 0, 4, 0, 0, -1])

# 画茎叶图
plt.stem(x, y, linefmt="b-", markerfmt="ro", basefmt="k-")
plt.title("Stem Plot Example")
plt.show()
../_images/067862c653b8cb042483b13696123c901cfa4b856e64efa5906ce62721dbb684.png

4.20 patches补丁图形#

每个画出来的图形都叫patch

import random
import numpy as np
fig,ax = plt.subplots()
x = np.random.normal(0, 1.5, 200)
ax.hist(x, bins=8,linewidth=0.5, edgecolor='white')
(array([ 3., 12., 27., 58., 53., 34., 10.,  3.]),
 array([-4.55417271, -3.42191846, -2.28966422, -1.15740998, -0.02515573,
         1.10709851,  2.23935275,  3.371607  ,  4.50386124]),
 <BarContainer object of 8 artists>)
../_images/c7ad5ca5668299c418dc1cb708483d6fbc152939cb809cbec3ea8d5ab37bcf75.png

ax.patches 就是绘制的8个柱状图. 每个都是Rectangle.

  • 高度就是计数

rec1 = ax.patches[3]
print(f'Height(count): {rec1.get_height()}')
print(f'Left x: {rec1.get_x()}')
print(f'Width: {rec1.get_width()}')
Height(count): 58.0
Left x: -1.1574099773757962
Width: 1.1322542435161185

Ellipse 椭圆形#

import matplotlib.pyplot as plt
from matplotlib.patches import Ellipse
ellipsis = Ellipse(
    xy=(0, 0),
    width=1,
    height=2,
    angle=30,
)
fig, ax = plt.subplots()
ax.add_patch(ellipsis)
ax.set_xlim(-3, 3)
ax.set_ylim(-3, 3)
ax.set_aspect('equal')
../_images/83066defcad0ee21c2b3020e5b829dd87ae4ecdbf381bbf8809588d5116fb55e.png

示例1: 绘制二维高斯分布的等高线#

from matplotlib.patches import Ellipse
import matplotlib.pyplot as plt
import numpy as np
cov = np.array([
    [3, 1],
    [1, 2]
])
vals, vecs = np.linalg.eigh(cov)
angle = np.degrees(np.arctan2(*vecs[:, 1][::-1]))
width, height = 2 * np.sqrt(vals) #
e = Ellipse(
    xy=(0,0),
    width= width,
    height= height,
    angle= angle,
)
print('eigen val: ', vals, 'angle: ', angle)
fig, ax = plt.subplots()
ax.add_patch(e)
ax.set_xlim(-width, width)
ax.set_ylim(-height, height)
ax.set_aspect('equal')
eigen val:  [1.38196601 3.61803399] angle:  -148.282525588539
../_images/49ac9e89a05485599b3595c9c7d0df9395c219a9c6c388af635c7595514f43cd.png

4.21 颜色#

https://matplotlib.org/stable/users/explain/colors/index.html

  • 基础颜色直接指定: ‘red’ , ‘r’, (0.1, 0.2, 0.3), ‘#1f77b4’

  • colormap把[0,1]的数值映射为颜色

  • 其他内置调色板:如tableau 'tab:green'

# 返回所有调色板
import matplotlib.pyplot as plt
plt.colormaps()
['magma',
 'inferno',
 'plasma',
 'viridis',
 'cividis',
 'twilight',
 'twilight_shifted',
 'turbo',
 'Blues',
 'BrBG',
 'BuGn',
 'BuPu',
 'CMRmap',
 'GnBu',
 'Greens',
 'Greys',
 'OrRd',
 'Oranges',
 'PRGn',
 'PiYG',
 'PuBu',
 'PuBuGn',
 'PuOr',
 'PuRd',
 'Purples',
 'RdBu',
 'RdGy',
 'RdPu',
 'RdYlBu',
 'RdYlGn',
 'Reds',
 'Spectral',
 'Wistia',
 'YlGn',
 'YlGnBu',
 'YlOrBr',
 'YlOrRd',
 'afmhot',
 'autumn',
 'binary',
 'bone',
 'brg',
 'bwr',
 'cool',
 'coolwarm',
 'copper',
 'cubehelix',
 'flag',
 'gist_earth',
 'gist_gray',
 'gist_heat',
 'gist_ncar',
 'gist_rainbow',
 'gist_stern',
 'gist_yarg',
 'gnuplot',
 'gnuplot2',
 'gray',
 'hot',
 'hsv',
 'jet',
 'nipy_spectral',
 'ocean',
 'pink',
 'prism',
 'rainbow',
 'seismic',
 'spring',
 'summer',
 'terrain',
 'winter',
 'Accent',
 'Dark2',
 'Paired',
 'Pastel1',
 'Pastel2',
 'Set1',
 'Set2',
 'Set3',
 'tab10',
 'tab20',
 'tab20b',
 'tab20c',
 'grey',
 'gist_grey',
 'gist_yerg',
 'Grays',
 'magma_r',
 'inferno_r',
 'plasma_r',
 'viridis_r',
 'cividis_r',
 'twilight_r',
 'twilight_shifted_r',
 'turbo_r',
 'Blues_r',
 'BrBG_r',
 'BuGn_r',
 'BuPu_r',
 'CMRmap_r',
 'GnBu_r',
 'Greens_r',
 'Greys_r',
 'OrRd_r',
 'Oranges_r',
 'PRGn_r',
 'PiYG_r',
 'PuBu_r',
 'PuBuGn_r',
 'PuOr_r',
 'PuRd_r',
 'Purples_r',
 'RdBu_r',
 'RdGy_r',
 'RdPu_r',
 'RdYlBu_r',
 'RdYlGn_r',
 'Reds_r',
 'Spectral_r',
 'Wistia_r',
 'YlGn_r',
 'YlGnBu_r',
 'YlOrBr_r',
 'YlOrRd_r',
 'afmhot_r',
 'autumn_r',
 'binary_r',
 'bone_r',
 'brg_r',
 'bwr_r',
 'cool_r',
 'coolwarm_r',
 'copper_r',
 'cubehelix_r',
 'flag_r',
 'gist_earth_r',
 'gist_gray_r',
 'gist_heat_r',
 'gist_ncar_r',
 'gist_rainbow_r',
 'gist_stern_r',
 'gist_yarg_r',
 'gnuplot_r',
 'gnuplot2_r',
 'gray_r',
 'hot_r',
 'hsv_r',
 'jet_r',
 'nipy_spectral_r',
 'ocean_r',
 'pink_r',
 'prism_r',
 'rainbow_r',
 'seismic_r',
 'spring_r',
 'summer_r',
 'terrain_r',
 'winter_r',
 'Accent_r',
 'Dark2_r',
 'Paired_r',
 'Pastel1_r',
 'Pastel2_r',
 'Set1_r',
 'Set2_r',
 'Set3_r',
 'tab10_r',
 'tab20_r',
 'tab20b_r',
 'tab20c_r']

调色板分类:#

  • 单色渐变: ‘viridis’; 密度,连续值

  • 正负变化:’coolwarm’; 残差

  • 离散分类:’tab10’; 多酚类

  • 特殊:’flag’;周期 特效数据

fig, axes = plt.subplots(1, 4, figsize = (12, 3))
rng = np.random.RandomState(0)
axes[0].imshow(rng.randn(10,10), cmap='viridis')
axes[1].imshow(rng.randn(10,10), cmap='coolwarm')
axes[2].imshow(rng.randn(10,10), cmap='tab10')
axes[3].imshow(rng.randn(10,10), cmap='flag')
<matplotlib.image.AxesImage at 0x199491db610>
../_images/fca078b751c0b208a49f6a63163df951dc09382584b6aca949d0d793db7b6328.png

colors接口#

from matplotlib import colors

解析到标准RGB

colors.to_rgb('tab:green')
(0.17254901960784313, 0.6274509803921569, 0.17254901960784313)
colors.to_rgba('#ff0000', alpha=0.5)
(1.0, 0.0, 0.0, 0.5)

数值映射到[0,1],

X = np.random.randn(10, 3) + 1
norm = colors.Normalize(vmin=0, vmax=1)
plt.scatter(X[:,0], X[:, 1], c=X[:, 2], norm=norm) # 必须携带c参数
<matplotlib.collections.PathCollection at 0x1994907f7f0>
../_images/e3c6f03ddf9e3dc2f3d6c78149d83b9e268acf3e0e42c0b98269935f8aa900bb.png

颜色表

colors.TABLEAU_COLORS
{'tab:blue': '#1f77b4',
 'tab:orange': '#ff7f0e',
 'tab:green': '#2ca02c',
 'tab:red': '#d62728',
 'tab:purple': '#9467bd',
 'tab:brown': '#8c564b',
 'tab:pink': '#e377c2',
 'tab:gray': '#7f7f7f',
 'tab:olive': '#bcbd22',
 'tab:cyan': '#17becf'}

cm接口: 方便直接取色#

from matplotlib import colormaps
# 获取colormap对象 调色板
cmap = colormaps.get_cmap('viridis')
cmap(0.5) # cmap可以直接调用,将[0,1]映射到RGB
(np.float64(0.127568),
 np.float64(0.566949),
 np.float64(0.550556),
 np.float64(1.0))
import matplotlib.pyplot as plt
import numpy as np
from matplotlib import colormaps

x = np.linspace(0, 10, 100)
y = np.sin(x)
colors = colormaps.get_cmap('viridis')((y - y.min()) / (y.max() - y.min()))

plt.scatter(x, y, color=colors)
plt.show()
../_images/85faf858f569563df2fcd5b9457824273cc08a911d351b782fbd61afea9ac76a.png

facecolor 填充色, edgecolor#

from matplotlib.patches import Rectangle
import matplotlib.pyplot as plt

fig, ax = plt.subplots()
rect = Rectangle((0,0), 1, 2, facecolor='green', edgecolor='red', linewidth=10)  # 填充绿色
ax.add_patch(rect)
plt.show()
../_images/e77bf52464ddb7c228f79bd2f7125a99ec07c119ec777ef945d81f562432ddf1.png

4.23 线条lines#

import matplotlib.pyplot as plt
import matplotlib.lines as mlines
line = mlines.Line2D(
    [0, 1], [1, 0], # 线段起点终点
    label = 'custom line'
)
fig, ax = plt.subplots()
ax.add_line(line)
ax.legend()
<matplotlib.legend.Legend at 0x1ffb63f3e80>
../_images/6b59e34eade541688b7e1ee6104da0de1e4e077854f612514661d4912a4cba8e.png

示例:自定义legend
[] 不会画线,只有符号

import matplotlib.lines as mlines

lineA = mlines.Line2D([], [], color='red', marker='o', linestyle='None', label='Class A')
lineB = mlines.Line2D([], [], color='blue', marker='x', linestyle='None', label='Class B')

plt.legend(handles=[lineA, lineB])
<matplotlib.legend.Legend at 0x1ffb62dfa30>
../_images/3e36d7c3b554c2e0eaf90ab2b3b7030c2d5b2e8732a9dacc8a980e24532de0eb.png